博彩评级网-博彩网_百家乐投资_全讯网新2 (中国)·官方网站

學術

導航菜單

我校本科生李聰發表高水平學術論文

作者:徐曉春    來源:自動化學院      編輯:郭書君   日期:2022年05月12日 17:09   閱讀:1

新聞網訊 近日,我校自動化專業2019級本科生李聰同學撰寫的英文學術論文Finite-Time Adaptive Event-Triggered Control for Robot Manipulators With Output Constraints在線發表于電路與系統領域知名期刊IEEE Transactions on Circuits and Systems-II: ExpressBriefs。該期刊是IEEE電路與系統協會老牌旗艦期刊之一,為SCI源刊,主要刊登電路系統、控制系統等研究領域高質量、原創性的研究論文和評論性文章。李聰同學為論文的第一作者,指導老師和論文通訊作者均為自動化學院趙林副教授。

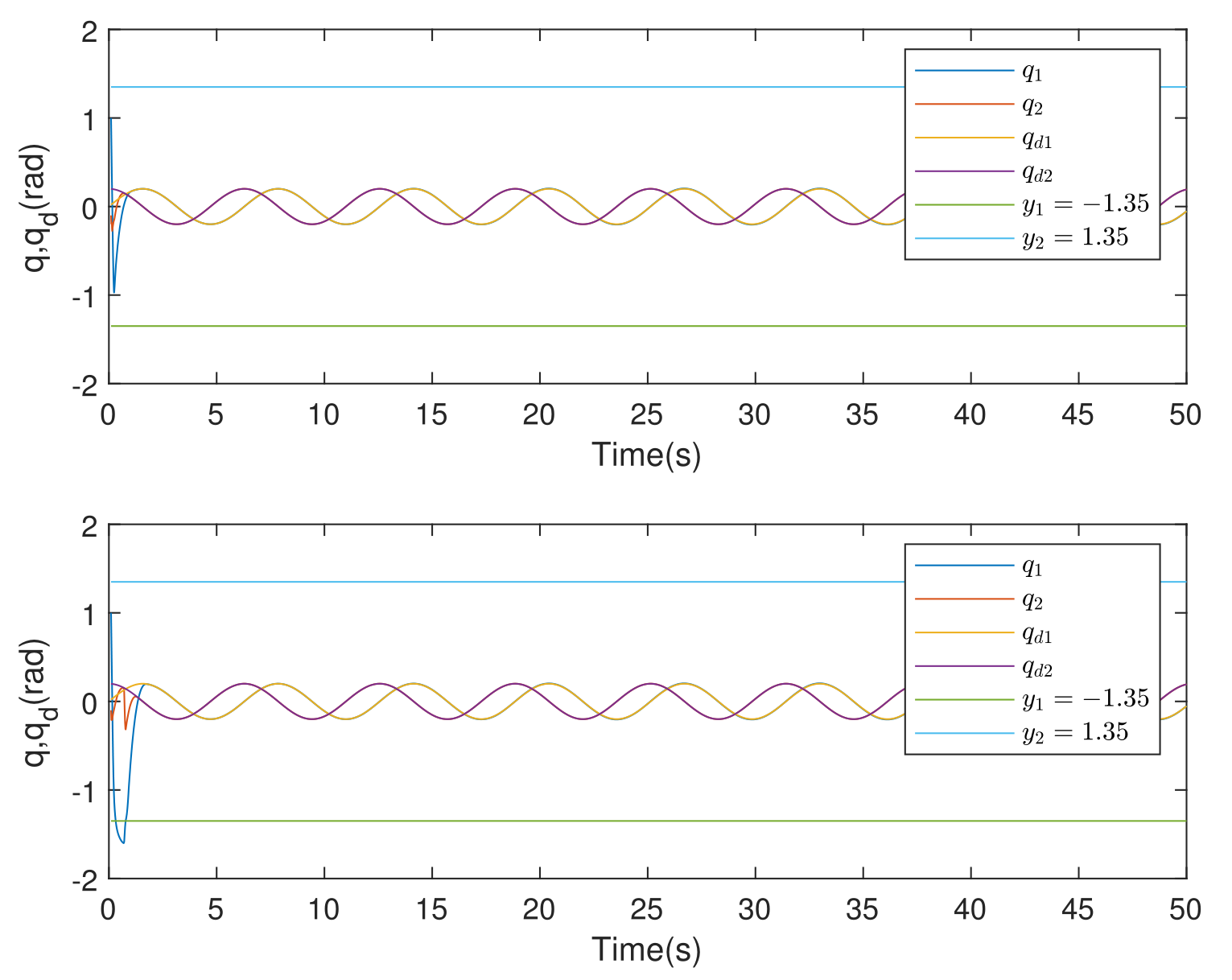
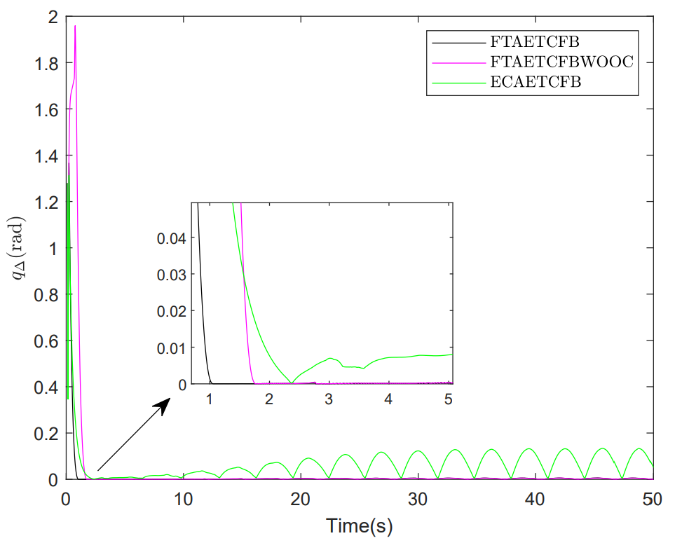
論文針對帶有輸出受限機器人系統提出了一種新的有限時間自適應事件觸發控制方法,將命令濾波反步控制與事件觸發控制相結合,既保留了命令濾波反步控制的計算簡便、瞬態性能好等優點,同時又通過事件觸發降低了通信與資源損耗,使關節位置跟蹤誤差在有限時間內收斂到期望的領域。為了驗證算法的優越性,論文以一個二連桿機械臂模型進行驗證,通過與不考慮輸出受限的控制方法和僅滿足指數收斂的反步方法做仿真對比發現,論文所提出的方法有著更好的收斂和穩態性能。

 

圖1 論文中FTAETCFB方法的輸出與對比誤差曲線

近年來,自動化學院致力于推進本科生和研究生科研水平,趙林副教授所在的于金鵬教授團隊,本著激發學生創造力的原則,對學生悉心指導,取得了優異的成果,指導本科生和研究生在IEEE TNNLS、IEEE TFS、IEEE TCASII等高水平期刊發表系列論文20余篇,學院本科生和研究生科研水平呈現良好的發展勢頭。


    

< 上一篇:我校青年教師在國際頂級期刊Nature Materials上發表高水平研究成果 下一篇:我校李鐸教授應邀主編的英文專著《Advances in Dietary Lipids and Human Health》在Elsevier出版 >
歡迎關注青島大學公眾號
  •  

    電話:(86)-532-85951111

  •  

    傳真:(86)-532-85953085

  •  

    校長信箱:xiaozhang@qdu.edu.cn

  •  

    書記信箱:shuji@qdu.edu.cn

  •  

    地址:青島市寧夏路308號

  • 意見反饋

版權所有 ? 青島大學                 魯 ICP 備案 05001947 號 - 4         魯公網安備 37021202000856號     

百家乐官网凯时赌场娱乐网规则| 真钱百家乐大转轮| 百家乐官网分析资料| 庄闲和百家乐官网桌布| 大发888真钱赌场娱乐网规则 | 荷规则百家乐官网的玩法技巧和规则 | 盈丰会| 百家乐三多注码法| 睢宁县| 澳门百家乐765118118| 百家乐官网平客户端| 麦盖提县| 火箭百家乐的玩法技巧和规则| 姚记娱乐城安全| 百家乐官网打大必赢之法| 百家乐官网解密软件| 娱乐场游戏| 百家乐官网桌子10人| 怎么玩百家乐能赢钱| 百家乐官网游戏策略| 威尼斯人娱乐城真实网址| 24山分金吉凶断| 网上百家乐官网作弊法| 大发888官方hgx2dafa888gwd | 百家乐网络赌场| 百家乐官网玩法规| 戰神国际娱乐城| 全讯网3344555.com| 百家乐技术辅助软件| 豪门百家乐官网的玩法技巧和规则| 总玩百家乐有赢的吗| 百家乐官网倍投| 天天乐娱乐| 红宝石百家乐的玩法技巧和规则 | 百家乐牌具公司| 蓝盾百家乐官网赌场娱乐网规则 | 神娱乐百家乐官网的玩法技巧和规则 | 合肥百家乐赌博游戏机| 德州扑克2| 去澳门百家乐的玩法技巧和规则 | 郑州太阳城宾馆|